|
| Задачная база >> Национальные зарубежные олимпиады >> Словения >> 1994 >> 4 тур | Убрать решения |
|
|
| Словенская математическая олимпиада.. 1994. 4 тур |
|
|
Докажите, что не существует функции
такой, что f(f(x)) = x + 1
для любого
.
Задача 2:
Заполните следующую таблицу натуральными числами так, чтобы числа в каждой строке и каждом столбце образовывали бы арифметическую прогрессию:

Задача 3:
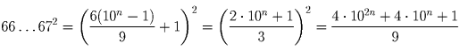
Докажите, что числа

Решение:
Докажем, что 66 67² = 44 48 89.


Диагонали вписанного четырехугольника ABCD пересекаются в точке S. Q – середина стороны AB, P и R – основания перпендикуляров, опущенных из точки S на стороны AD и BC. Докажите, что PQ = QR.
| Задачная база >> Национальные зарубежные олимпиады >> Словения >> 1994 >> 4 тур | Убрать решения |