|
| Задачная база >> Санкт-Петербургские (Ленинградские) соревнования >> Городская олимпиада >> 1980 >> Районный тур >> 5 класс | Убрать решения |
|
|
| Санкт-Петербургская (Ленинградская) математическая олимпиада. 1980. Районный тур. 5 класс |
|
|
Решение: Чем больше периметр квадрата, тем больше его площадь. 40 от периметра второго квадрата больше, чем 40 от периметра первого. Значит, наименьший периметр, а тогда и наименьшая площадь у третьего квадрата.
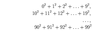
Задача 2: Найдите последнюю цифру числа 1² + 2² + … + 99².
Решение: Последние цифры сумм

Задача 3: Существует ли число, у которого произведение цифр равно 1980?
Решение: Такого числа не существует, поскольку 1980 = 2 2 3 5 11, а произведение цифр не может содержать множителя 11 (так как цифры это: 0,…9).
Задача 4: С набором из пяти чисел, каждое из которых равно 1 или – 1, разрешено производить следующую операцию: менять знаки у каких-нибудь двух чисел. Можно ли с помощью нескольких таких операций из набора 1, – 1, – 1,1,1 получить набор – 1,1,1,1,1?
Решение: Нельзя. После такой операции произведение всех написанных на доске чисел не изменяется (или, что то же самое, не изменяется четность количества «минус единиц"), а для начального и конечного наборов эти произведения отличаются.
| Задачная база >> Санкт-Петербургские (Ленинградские) соревнования >> Городская олимпиада >> 1980 >> Районный тур >> 5 класс | Убрать решения |