|
| Задачная база >> Санкт-Петербургские (Ленинградские) соревнования >> Городская олимпиада >> 1981 >> Районный тур >> 10 класс ФМШ | Убрать решения |
|
|
| Санкт-Петербургская (Ленинградская) математическая олимпиада. 1981. Районный тур. 10 класс ФМШ |
|
|
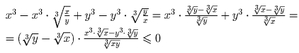
.Решение: Рассмотрим разность левой и правой частей:

Задача 3:
Задача 4:
Задача 5:
| Задачная база >> Санкт-Петербургские (Ленинградские) соревнования >> Городская олимпиада >> 1981 >> Районный тур >> 10 класс ФМШ | Убрать решения |