|
| Задачная база >> Соревнования всероссийского уровня >> Всероссийский фестиваль юных математиков >> II, 1991 >> Турнир матбоёв >> 2-й тур | Убрать решения |
|
|
| II Всероссийский фестиваль юных математиков. Краснодар. 1991. Турнир матбоёв. 2-й тур |
|
|
Задача 2: При каком условии бесконечная арифметическая прогрессия a, a + d, …, a + nd, … содержит в себе подпоследовательность, являющуюся бесконечной геометрической прогрессией?
Решение: Необходимым и достаточным условием является рациональность отношения a/d. Задача 3: На каждой стороне параллелограмма взято по точке. Площадь четырехугольника с вершинами в этих точках равна половине площади параллелограмма. Докажите, что какая-то диагональ четырехугольника параллельна одной из сторон параллелограмма.
Решение: Пусть ABCD – этот параллелограмм, X, Y, Z, T – точки соответственно на AB, BC, CD, DA. Допустим, что XZ не параллельно AD. Будем двигать точку T по AD. При этом площадь четырехугольника XYZT будем изменяться монотонно, и окажется равной половине площади параллелограмма только когда YT\|AB. Задача 4: В концах отрезка пишутся две единицы. Посередине между ними пишется их сумма – 2. Затем посередине между каждыми соседними пишут их сумму, ... и.т.д. – 1991 раз. Сколько раз будет написано число 1991?
Решение: Будем говорить, что пара (a,b) входит в написанный ряд, если между числами a и b нет других чисел. Нетрудно убедиться, что пара (a,b) входит в ряд на каком-то шаге тогда и только тогда, когда числа a и b взаимно просты. Значит, ответ – количество чисел, взаимно простых с 1991 и меньших 1991, т.е. 1800. Задача 5: Докажите, что к конечному множеству точек на плоскости, обладающему тем свойством, что любые три точки этого множества являются вершинами невырожденного тупоугольного треугольника, всегда можно добавить одну точку так, что это свойство сохранится.
Решение: Нарисуем для каждой пары отмеченных точек «запретную" полосу. Понятно, что все эти полосы не покроют плоскость, и можно добавить еще точку. Задача 6: Докажите, что если сумма двух натуральных чисел равна 19910, то их произведение не делится на 19910.
Решение: Разложите 19910 на простые сомножители, и докажите, что оба числа должны делиться на каждый из этих сомножителей, чего не может быть. Задача 7: Функция f(x) определена на множестве
и
удовлетворяет тождеству f(x) + 2f((x – 2)/(x – 1)) = x. Найти все такие
функции f(x).
Решение:
Подставьте вместо x выражение
. Ответ:
.
Задача 8:
В углу шахматной доски размером N × N клеток (N > 4),
стоит фигура. Первый игрок может ходить ею 2 раза подряд как обычным
конем, а второй – один раз как конем с удлиненным ходом (на три
клетки в одном направлении и на одну в перпендикулярном). Так они
ходят по очереди. Первый игрок стремится поставить фигуру в
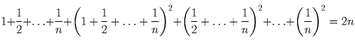
противоположный угол, а второй – ему помешать. Кто из них выиграет?Решение: Выигрывает первый игрок. Он может действовать так, чтобы каждой своей парой ходов возвращать фигуру на главную диагональ, продвигая ее ближе к нужному углу. Задача 9: Вычислите сумму:

Решение: По индукции доказывается равенство:

Решение: Начав с любой вершины и двигаясь по стрелкам, находим цикл, разбивающий поверхность на две области. Взяв внутри области ребро, не входящее в границу, построим новый цикл, содержащий меньше граней, чем область. Продолжая процесс, получим цикл, содержащий одну грань.
| Задачная база >> Соревнования всероссийского уровня >> Всероссийский фестиваль юных математиков >> II, 1991 >> Турнир матбоёв >> 2-й тур | Убрать решения |