|
| Задачная база >> Соревнования всероссийского уровня >> Всероссийский фестиваль юных математиков >> V, 1994 >> Турнир матбоёв >> 1-й тур | Показать решения |
|
|
| V Всероссийский фестиваль юных математиков. Михайловский. 1994. Турнир матбоёв. 1-й тур |
|
|
.Задача 2: В вершине A0 правильного (n + 1)-угольника A0A1 … An (n ≥ 3) стоят n фишек. Выбираются две вершины многоугольника Ai и Aj (i,j = 0,1, … n; возможно, i = j), содержащие хотя бы по одной фишке, после чего одна фишка из Ai передвигается в вершину, соседнюю с ней, и одновременно одна фишка из Aj передвигается в соседнюю с ней вершину. Для каких n можно добиться того, чтобы через некоторое число ходов в вершинах A1, A2, … , An стояло по одной фишке?
Задача 3: В произвольном тетраэдре на ребрах расставлены стрелки (по одной на каждом ребре). Докажите, что можно выбрать две непустые группы попарно различных векторов с одинаковой суммой.
Задача 4: Пусть a и b – длины катетов, c – длина гипотенузы прямоугольного треугольника. Докажите, что если числа a, b и c – целые, то число c² + ab представимо в виде суммы квадратов двух натуральных чисел. Задача 5: Длины ребер тетраэдра равны 5, 5, 8, 9, 13, 13. Какой наибольший периметр может иметь грань такого тетраэдра?
Задача 6: Два игрока поочередно закрашивают клетки на клетчатой доске 19 × 94. Каждым ходом закрашиваются несколько (может быть, одна) ранее незакрашенных клеток, образующих квадрат. Игрок выигрывает, если после его хода все клетки доски закрашены. Кто выигрывает при правильной игре: начинающий или его соперник?
Задача 7: Коэффициенты квадратного трехчлена – целые числа, дающие попарно различные остатки при делении на 3. Может ли дискриминант этого квадратного трехчлена равняться 1994?
Задача 8: Последовательность an, состоящая из натуральных чисел, такова, что an + an + 2 ≤ 2an + 1 при всех натуральных n. Докажите, что существуют такие числа k и b, что для бесконечного множества индексов i выполняется равенство: ai = ki + b.
Задача 9: На плоскости даны прямая l и треугольник ABC по одну сторону от нее. Пусть A1, B1 и C1 – точки, симметричные A, B и C относительно l. Через точку A1 проведена прямая, параллельная BC, через точку B1 – прямая, параллельная AC, через точку C1 – прямая, параллельная AB. Докажите, что три построенные прямые пересекаются в одной точке.
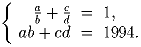
Задача 10: Найдите все решения системы уравнений в натуральных числах:

| Задачная база >> Соревнования всероссийского уровня >> Всероссийский фестиваль юных математиков >> V, 1994 >> Турнир матбоёв >> 1-й тур | Показать решения |