|
| Задачная база >> Соревнования всероссийского уровня >> Всероссийский фестиваль юных математиков >> V, 1994 >> Турнир матбоёв >> Высшая лига >> 4-й тур | Показать решения |
|
|
| V Всероссийский фестиваль юных математиков. Михайловский. 1994. Турнир матбоёв. Высшая лига. 4-й тур |
|
|
Задача 2: На плоскости даны окружность и точка A вне нее. Рассматриваются всевозможные треугольники ABC, описанные около данной окружности. Найдите геометрическое место точек пересечения биссектрисы угла B со средней линией (или ее продолжением) треугольника ABC, параллельной стороне BC. Задача 3: Решите систему уравнений в действительных числах:

Задача 4: Сумма квадратов двух натуральных чисел делится на простое число p вида 4n – 1 (n ∈ N). Докажите, что каждое из них делится нацело на p.
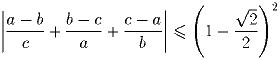
Задача 5: Докажите, что при всех a,b,c ∈ [1;2] выполняется неравенство:

Задача 6: Через точку M, лежащую внутри окружности, проведены 4 различных хорды AkBk, где k = 1,2,3,4. Докажите, что точка P пересечения прямых A1A2 и A3A4, точка Q пересечения прямых B1B2 и B3B4, а также точка M лежат на одной прямой.
Задача 7: Дано натуральное число k. При каких m и n прямоугольник m × n (m,n > k²) можно разрезать на квадраты, сторона каждого из которых равна k или k + 1?
Задача 8: Найдите сумму модулей всех различных корней уравнения

Задача 10: Связный граф содержит конечное число вершин и ребер, причем ребра покрашены в два цвета: красный и синий. За один ход можно перекрасить все ребра, выходящие из одной вершины. Все возможные раскраски ребер этого графа разбиваются на несколько классов таких, что раскраски из одного класса можно получить друг из друга за несколько ходов, а из разных – нельзя. Докажите, что число таких классов равняется количеству раскрасок, в которых из каждой вершины выходит четное число красных ребер.
| Задачная база >> Соревнования всероссийского уровня >> Всероссийский фестиваль юных математиков >> V, 1994 >> Турнир матбоёв >> Высшая лига >> 4-й тур | Показать решения |