|
| Задачная база >> Соревнования всероссийского уровня >> Кубок памяти Колмогорова >> IV кубок >> Турнир матбоёв >> 4-й тур >> Высшая лига. Бои за 1-4 места. | Показать решения |
|
|
| Соревнования всероссийского уровня. Кубок памяти Колмогорова. IV кубок. Турнир матбоёв. 4-й тур. Высшая лига. Бои за 1-4 места. |
|
|
Назовем разбиение клетчатой доски 200 × 200 на доминошки (то есть прямоугольники из двух клеток) удачным, если любое разбиение этой доски на доминошки имеет с данным четное число общих доминошек. Сколько существует удачных разбиений?
Задача 2:
В вершинах правильного 101-угольника расставлены единицы. За один ход разрешается выбрать четыре подряд стоящие числа, вычесть по 1 из двух средних и прибавить по 1 к двум крайним. Можно ли не более чем за 10000 таких ходов получить расстановку, в которой все числа, кроме одного, равны нулю?
Задача 3:
На сторонах треугольника ABC как на основаниях построены вовне равнобедренные треугольники ABC1, BCA1, CAB1 с углом 120 градусов при вершине. Докажите, что периметр треугольника A1 B1 C1 не больше периметра треугольника ABC.
Задача 4:
В компании из 200 человек любых пятерых можно посадить за круглый стол так, чтобы каждый из них сидел между двух знакомых (предполагается, что если A знаком с B, то B знаком с A). Какое наименьшее число пар знакомых может быть в этой компании?
Задача 5:
Верно ли, что при любом натуральном n и любых натуральных
множество натуральных
чисел можно разбить на n + 1 непересекающееся подмножество таким образом, что
если
хотя бы для одного 1 ≤ i ≤ n, то числа k и m лежат в разных подмножествах.
Задача 6:
Известно, что a, b, c – целые числа, по модулю меньшие 1000000. Докажите, что уравнение ax + by + cz = 0 имеет хотя бы два решения в целых числах, по модулю не превосходящих 2000.
Задача 7:
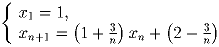
Последовательность задана соотношениями

Докажите, что все ее члены – натуральные числа.
Задача 8:
В последовательности натуральных чисел (xn),
n ≥ 1,
выполняется соотношение
,
где
обозначает количество натуральных чисел, не
превосходящих m и взаимно простых с m. Найдите все такие натуральные k > 1,
что при любом натуральном x1 > 1 последовательность (xn)
ограничена.
Окружность проходит через вершины A и C остроугольного треугольника ABC и пересекает стороны AB и BC в точках D и E. Точки D1 и E1 симметричны точкам D и E соответственно относительно основания высоты треугольника, опущенной на сторону AC. Прямые CD1 и AE1 пересекаются в точке K. Докажите, что ∠ AKC = ∠ ABC.
Задача 10:Найдите все функции
такие, что f(x² + y²) = xf(x) + yf(y). (Здесь
– множество целых неотрицательных чисел.)
| Задачная база >> Соревнования всероссийского уровня >> Кубок памяти Колмогорова >> IV кубок >> Турнир матбоёв >> 4-й тур >> Высшая лига. Бои за 1-4 места. | Показать решения |