|
| Задачная база >> Украинские соревнования >> Всеукраинская олимпиада школьников >> 1989, Черкассы >> 9 класс | Показать решения |
|
|
| Украинские соревнования. Всеукраинская олимпиада школьников. 1989, Черкассы. 9 класс |
|
|
Задача 2: Доказать, что ни при каком значении параметра c уравнение x(x² – 1)(x² – 1989) = c не может иметь 5 целых корней.
Задача 3: Рассматривается сумма всех векторов
с общим
началом в точке M0 и концами в точках M, которые принадлежат
кругу x² + y² ≤ 9 и имеют целые координаты. Указать наибольшее и
наименьшее возможное значение длины этой суммы в зависимости от
положения точки M0 (M0 также принадлежит кругу).Задача 4: Доказать, что для n неотрицательных чисел
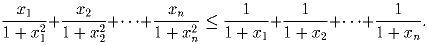
,
сумма которых равна n, выполняется неравенство:

Задача 5: Пусть a, b, c — стороны треугольника, а R — радиус описанной около него окружности. Доказать, что a² + b² + c² ≤ 9R².
Задача 6: Внутри круга размещён пятиугольник A1A2A3A4A5, у которого все стороны равны. Каждую из сторон пятиугольника продлим до пересечения с окружностью. Продолжения A1A2 за точку A2, A2A3 за точку A3, A3A4 за точку A4, A4A5 за точку A5 и A5A1 за точку A1 покрасим в красный цвет, а остальные продолжения — в синий. Доказать, что сумма длин всех красных отрезков равна сумме длин всех синих отрезков.
Задача 7: Пусть x² – yz = a, y² – xz = b, z² – xy = c. Доказать, что ax + by + cz = (a + b + c)(x + y + z).
Задача 8: В лесу есть m n тропинок и несколько полян. Каждая тропинка соединяет две поляны. Известно, что тропинки можно покрасить m цветами так, чтобы к каждой поляне сходились тропинки разных цветов. Доказать, что это можно сделать, покрасив каждым цветом ровно n тропинок.
| Задачная база >> Украинские соревнования >> Всеукраинская олимпиада школьников >> 1989, Черкассы >> 9 класс | Показать решения |